• Date de parution : 01/07/2014
  • ISBN : 9780634060380

The Real Book – Vol.I – 6Th Ed. – C Instruments

Instruments en Do Jazz & blues

Recueil
Éditeur : Hal Leonard
Référence : HL00240221

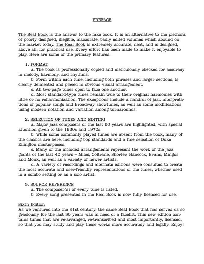
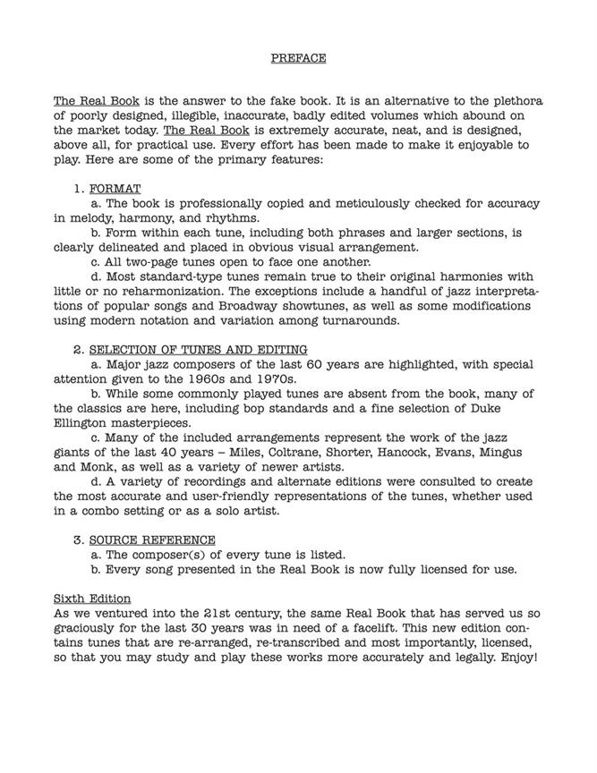
Description :

The Real Books sont les livres de jazz les plus vendus de tous les temps. Depuis les années 1970, les musiciens font confiance à ces volumes pour les faire traverser à chaque concert, soir après soir. Le problème est que les livres ont été produits et distribués illégalement, sans aucun respect pour la loi sur le droit d’auteur ni pour les redevances versées aux compositeurs ayant créé ces chefs-d’œuvre musicaux. Hal Leonard est très fier de présenter les premières éditions légitimes et légales de ces livres jamais produites. Vous ne remarquerez même pas la différence, à part que toutes les erreurs notoires ont été corrigées : les pochettes et la police de caractères se ressemblent, la liste des chansons est presque identique, et le prix de notre édition est encore plus bas que l’original ! Tout musicien consciencieux appréciera que ces livres soient désormais produits avec précision et éthique, au bénéfice des auteurs-compositeurs que nous devons pour certains des plus grands morceaux de tous les temps ! Comprend 400 chansons : All Blues · Au Privave · Feuilles d’automne · Orphée Noir · Bluesette · Corps et âme · Vie Bright Size · Con Alma · Danse du Dauphin · Je ne me déplace plus beaucoup maintenant · Vie facile · Épistrophie · Tomber amoureux de l’amour · Empreintes · Quatre contre six · Pas de géant · Avez-vous rencontré Mlle Jones ? · Quelle hauteur la Lune · Je me souviendrai d’avril · Impressions · Berceuse de Birdland · Brumeuse · Ma Saint-Valentin drôle · Oleo · Argile rouge · Poupée de satin · Sidewinder · Stella par Starlight · Prise Cinq · Il n’y a pas de plus grand amour · Vague · et des centaines d’autres ! Des éditions sont également disponibles en si bémol, mi bémol et clé de fa. Vous cherchez une chanson en particulier ?

61,20

3 ex. en stock<br>Expédition immédiate 3 ex. en stock
Expédition immédiate

Livraison gratuite Gagnez un bon d'achat dès 50€ *

30 jours pour changer d'avis

Contenu

Call Me
Easy Living
Jelly Roll
West Coast Blues
Fee-Fi-Fo-Fum
Ring Dem Bells
Israel
Pinocchio
Butterfly
Pfrancing (No Blues)
Beauty And The Beast
Peace
Afternoon In Paris
Água De Beber (Water To Drink)
Reflections
Always
Cotton Tail
Airegin
Passion Flower
Guilty
Lines And Spaces
Conception
Captain Marvel
Litha
What Was
Inner Urge
Isotope
Passion Dance
Las Vegas Tango
Alfie
Alice In Wonderland
Heaven
All Blues
All By Myself
Topsy
Sidewinder
Lament
How My Heart Sings
Steps
Crystal Silence
Detour Ahead
Sugar
Con Alma
Hot Toddy
Solitude
In A Mellow Tone
All Of Me
All Of You
All The Things You Are
I Wish I Knew How It Would Feel To Be Free
Dolphin Dance
Broadway
Upper Manhattan Medical Group (Ummg)
I Love You
Straight No Chaser
One Finger Snap
Iris
My Way
Alright, Okay, You Win
Golden Lady
So What
Somebody Loves Me
Afro Blue
Road Song
Once I Loved (Amor Em Paz) (Love In Peace)
April Joy
Bright Size Life
Midwestern Nights Dream
Missouri Uncompromised
Sirabhorn
Uniquity Road
Unity Village
Angel Eyes
Unchain My Heart
Ceora
A Child Is Born
Full House
Icarus
El Gaucho
Prince Of Darkness
Armageddon
Black Nile
Stuff
Anthropology
Apple Honey
April In Paris
Skating In Central Park
Arise, Her Eyes
What Am I Here For?
(The Old Man From) The Old Country
Desafinado
Contemplation
Miss Ann
Au Privave
Joy Spring
Autumn In New York
Autumn Leaves
Black Diamond
Forest Flower
Sweet Georgia Bright
Swedish Pastry
Chippie
Think On Me
Man In The Green Shirt
Memories Of Tomorrow
Milano
Tame Thy Pen
502 Blues
Poem For #15 (The Saga Of Harrison Crabfeathers)
Deluge
House Of Jade
Dolores
Orbits
Good Evening Mr. And Mrs. America
Equipoise
African Flower (Petite Fleur Africaine)
Indian Lady
Three Flowers
Follow Your Heart
Quiet Now
Very Early
Chelsea Bells
Doin' The Pig
Domino Biscuit
The Green Mountains
Portsmouth Figurations
Sweet Henry
Coral
Days And Nights Waiting
Grow Your Own
In Your Quiet Place
Lucky Southern
Moonchild
The Magician In You
Broad Way Blues
The Sphinx
Dear Old Stockholm
Midnight Mood
Turn Out The Stars
Gypsy In My Soul
Day Waves
Desert Air
Dexterity
Wild Flower
Sometime Ago
Kelo
Oliloqui Valley
The Sorcerer
Django
There Is No Greater Love
Bessie's Blues
Bewitched
Big Nick
Black Coffee
Fall
Blue In Green
The Blue Room
Blue Train (Blue Trane)
Bluesette
Body And Soul
Boplicity (Be Bop Lives)
Beautiful Love
Could It Be You
Yesterday
Stolen Moments
But Beautiful
Byrd Like
C'est Si Bon
Call Me Irresponsible
Can't Help Lovin' Dat Man
Central Park West
Countdown
Whispering
Chega De Saudade (No More Blues)
Chelsea Bridge
Prelude To A Kiss
Cherokee (Indian Love Song)
Cherry Pink And Apple Blossom White
Lady Bird
Eighty One
Up Jumped Spring
We'll Be Together Again
Darn That Dream
My Shining Hour
I Should Care
There Will Never Be Another You
Triste
Chitlins Con Carne
My Foolish Heart
Come Sunday
Como En Vietnam
Confirmation
Crescent
D Natural Blues
Daahoud
Dancing On The Ceiling
Dearly Beloved
Dedicated To You
Dizzy Atmosphere
Don't Blame Me
Don't Get Around Much Anymore
Donna Lee
Dream A Little Dream Of Me
Dreamsville
In The Mood
Equinox
Easter Parade
Easy To Love (You'd Be So Easy To Love)
Minority
E.S.P.
Falling Grace
Falling In Love With Love
A Fine Romance
500 Miles High
Little Waltz
Footprints
For All We Know
Night Train
(I Love You) For Sentimental Reasons
Four
Four On Six
Freddie Freeloader
Gee Baby, Ain't I Good To You
The Girl From Ipanema (Garôta De Ipanema)
God Bless' The Child
Giant Steps
Grand Central
Groovin' High
Half Nelson
Have You Met Miss Jones?
Heebie Jeebies
Hello, Young Lovers
Here's That Rainy Day
How High The Moon
How Insensitive (Insensatez)
Hullo Bolinas
I Can't Get Started
I Can't Give You Anything But Love
I Could Write A Book
I Got It Bad And That Ain't Good
I Let A Song Go Out Of My Heart
I Love Paris
I Remember Clifford
I'll Never Smile Again
I'll Remember April
I'm All Smiles
I'm Beginning To See The Light
I'm Your Pal
If You Never Come To Me (Inutil Paisagem)
Impressions
In A Sentimental Mood
In The Wee Small Hours Of The Morning
The Inch Worm
The Intrepid Fox
Invitation
Is You Is, Or Is You Ain't (Ma' Baby)
Isn't It Romantic?
It Don't Mean A Thing (If It Ain't Got That Swing)
It's Easy To Remember
June In January
Just One More Chance
Lazy Bird
Lazy River
Like Someone In Love
Limehouse Blues
Little Boat (O Barquinho)
Long Ago (And Far Away)
Lonnie's Lament
Look To The Sky
Love Is The Sweetest Thing
Lullaby Of Birdland
Lush Life
Maiden Voyage
A Man And A Woman (Un Homme Et Une Femme)
Meditation (Meditacao)
Michelle
Misty
Moment's Notice
Mood Indigo
The Most Beautiful Girl In The World
Mr. P.C.
My Buddy
My Favorite Things
My Funny Valentine
My One And Only Love
My Romance
My Ship
Mysterious Traveller
Naima (Niema)
Nardis
Nefertiti
Never Will I Marry
Nica's Dream
The Night Has A Thousand Eyes
A Night In Tunisia
Nobody Knows You When You're Down And Out
Oleo
Once In Love With Amy
One Note Samba (Samba De Uma Nota So)
Only Trust Your Heart
Ornithology
Out Of Nowhere
P.S. I Love You
Paper Doll
Penthouse Serenade
Quiet Nights Of Quiet Stars (Corcovado)
Red Clay
round Midnight
Ruby, My Dear
Satin Doll
Scotch And Soda
Scrapple From The Apple
Seven Come Eleven
Seven Steps To Heaven
So Nice (Summer Samba)
Solar
Some Day My Prince Will Come
Some Other Spring
Some Skunk Funk
Song For My Father
The Song Is You
Sophisticated Lady
Standing On The Corner
Stella By Starlight
Stompin' At The Savoy
A String Of Pearls
A Sunday Kind Of Love
The Surrey With The Fringe On Top
Take Five
Take The 'a' Train
Thanks For The Memory
That's Amoré (That's Love)
There'll Be Some Changes Made
They Didn't Believe Me
Thou Swell
Time Remembered
Tones For Joan's Bones
Tune Up
Valse Hot
Wait Till You See Her
Waltz For Debby
Wave
Well You Needn't (It's Over Now)
When I Fall In Love
When Sunny Gets Blue
When You Wish Upon A Star
Wives And Lovers (Hey, Little Girl)
Woodchopper's Ball
The World Is Waiting For The Sunrise
Gemini
Blue Monk
Twisted Blues
Nuages
Black Orpheus
For Heaven's Sake
Tour De Force
Yesterdays
You Are The Sunshine Of My Life
You Are Too Beautiful
You Brought A New Kind Of Love To Me
You Don't Know What Love Is
You Took Advantage Of Me
You're Nobody 'til Somebody Loves You
Young At Heart
Blues For Alice
Silver Hollow
Tell Me A Bedtime Story
Black Narcissus
Blue Bossa
Gloria's Step
I Mean You
Pent Up House
Yes And No
Freedom Jazz Dance
Jordu
Peri's Scope
Sea Journey
The Star-Crossed Lovers
Windows
Woodyn' You
Lady Sings The Blues
Interplay
Epistrophy
Recorda Me
Ecclusiastics
Jump Monk
Nostalgia In Times Square
Peggy's Blue Skylight
Pithecanthropus Erectus
Pussy Cat Dues
Reincarnation Of A Lovebird
Ana Maria
Juju
Mahjong
Miyako
Night Dreamer
Speak No Evil
Virgo
Witch Hunt
Journey To Recife