• Date de parution : 04/01/2011
  • ISBN : 9781423433873

The Real Christmas Book – C Edition

Instruments en Do Variété internationale et musique du monde

Recueil
Éditeur : Hal Leonard
Référence : HL00240306

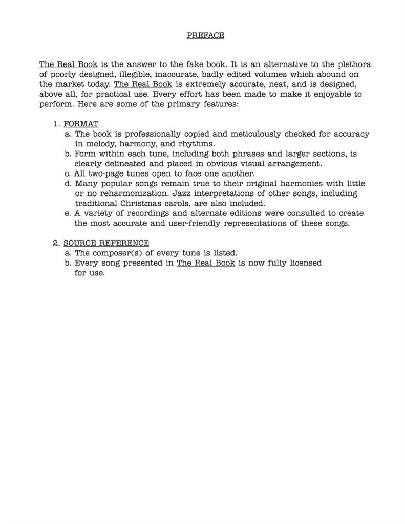
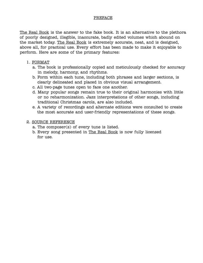
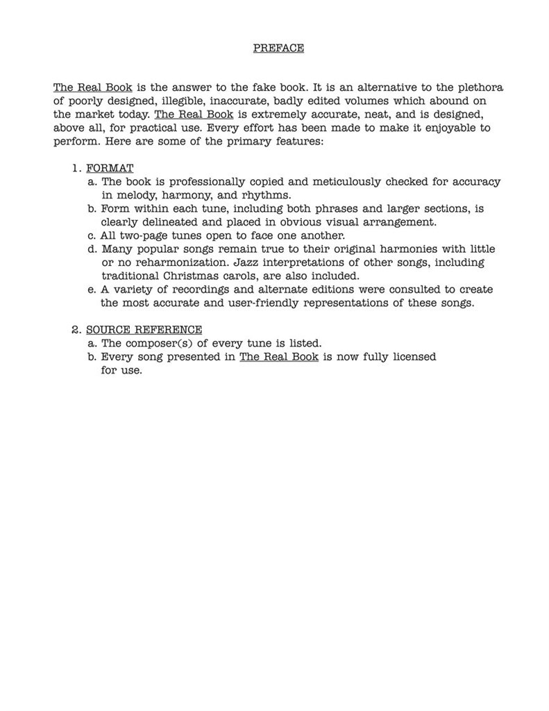
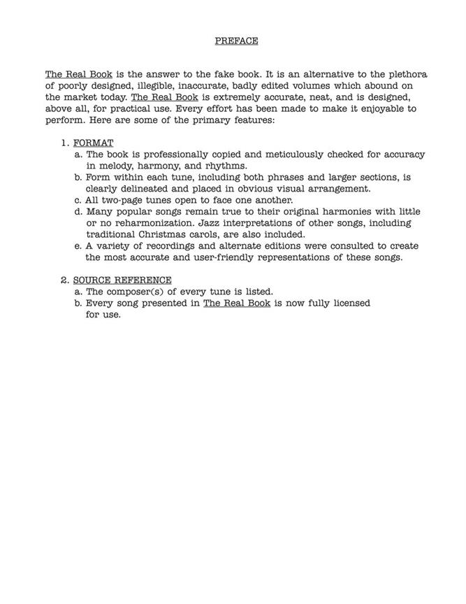
Description :

La collection de Noël que tous les amateurs de jazz voudront dans leur bas ! Ce faux livre unique propose 150 arrangements personnalisés de chants de Noël et de chansons contemporaines de Noël, avec des changements d’accords jazz sophistiqués dans le format populaire et convivial Real Book. Les joueurs prendront plaisir à remettre du cool dans ces classiques de Noël.

49,30

Disponible sous 3 à 6 Jours Disponible sous 3 à 6 Jours

Livraison gratuite Gagnez un bon d'achat dès 50€ *

30 jours pour changer d'avis

Contenu

All I Want for Christmas Is You
Auld Lang Syne
Baby, It's Cold Outside
Blue Christmas
The Chipmunk Song
Christmas Time Is Here
Dance of the Sugar Plum Fairy
Happy Holiday
Here Comes Santa Claus
I Heard the Bells on Christmas Day
I've Got My Love to Keep Me Warm
It Must Have Been the Mistletoe
It's Christmas in New York
Joy to the World
What Child Is This?
Last Christmas
Let It Snow! Let It Snow! Let It Snow!
Mister Santa
Santa Baby
Santa Claus Is Comin' to Town
Silver and Gold
Silver Bells
Somewhere in My Memory
What Are You Doing New Year's Eve?
You're All I Want for Christmas
and more.